
SGK, SUT Tebliğinde Değişiklik Yaptı: Gözlük Reçeteleri ve Görmeye Yardımcı Tıbbi Malzemelerde Yeni Düzenleme

10 Aralık 2025 tarihli Resmî Gazete, Sayı 33103 — SUT değişiklikleri
10 Aralık 2025 Çarşamba tarihli ve 33103 sayılı Resmî Gazete’de yayımlanan değişiklikle, Sosyal Güvenlik Kurumu (SGK) Sağlık Uygulama Tebliği (SUT) ve eki listelerde güncellemeler yapıldı. Tebliğ değişiklikleri, gözlük reçeteleri, uzak-yakın gözlük temini, çok odaklı (multifokal) camlar ile görmeye yardımcı tıbbi malzemelere ilişkin hükümleri kapsıyor.
Reçete ve Çok Odaklı Gözlüğe İlişkin Hüküm
Tebliğ değişikliğine göre SUT’un 3.3.3.A maddesine yeni bir fıkra eklendi. Buna göre, göz sağlığı ve hastalıkları uzman hekimleri veya bu alanda ihtisas yapan asistan hekimler tarafından aynı reçetede hem uzak hem de yakın gözlük yazılması hâlinde, hasta tercihine bağlı olarak yeni reçete düzenlenmeden çok odaklı gözlük verilmesi mümkün olacak.
Ayrıca 18 yaş ve altındaki hastalarda uzak ve yakın gözlüğün gerekli olduğu durumlarda gözlüğün hekimin reçetesine uygun olarak temin edileceği ifade edildi.
SUT Ek Listelerinde Yapılan Güncellemeler
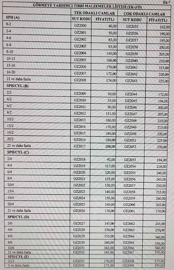
Tebliğ kapsamında SUT ek listelerinde revizyonlar yapıldı. Güncellenen listeler arasında Ayaktan Başvurularda Ödeme Listesi (EK–2/A), Hizmet Başı İşlem Puan Listesi (EK–2/B), Tanıya Dayalı İşlem Puan Listesi (EK–2/C) ve diğer ilgili ekler yer aldı. Görmeye yardımcı tıbbi malzemelerin bulunduğu EK–3 listesi ve buna bağlı alt listelerde düzenlemeler yapıldığı Resmî Gazete metninde belirtildi.
Sağlık Kurulu Raporlarına İlişkin Düzenleme
Tebliğe göre sağlık kurulu raporlarının düzenlenmesine ilişkin yetkili kuruluşlar yeniden tanımlandı. Söz konusu raporlar arasında Ankara Bilkent Şehir Hastanesi, İstanbul Şişli Hamidiye Etfal Eğitim ve Araştırma Hastanesi, İstanbul Başakşehir Çam ve Sakura Şehir Hastanesi ve İzmir Yeşilyurt Eğitim ve Araştırma Hastanesi’nin adı yer aldı; bu raporların Sağlık Bakanlığı tarafından onaylanacağı belirtildi.
Madde Revizyonu
SUT’un 3.3.3.B maddesindeki bazı düzenlemeler de gerçekleştirildi; örnek olarak ilgili maddede yer alan “150” ibaresinin “160” olarak güncellendiği Resmî Gazete metninde yer aldı.
Yürürlük
SUT’ta yapılan değişiklikler, yayımlandığı Resmî Gazete tarihi itibarıyla yürürlüğe girdi. Değişikliklerin uygulama detayları ve ilgili EK listelerindeki kesin içerik için Resmî Gazete metninin ve SUT eki listelerinin incelenmesi gerektiği belirtildi.


Çalışma ve Sosyal Güvenlik Bakanı Vedat Işıkhan da Sosyal hesabından konuyla ilgili yaptığı paylaşımda şunları kaydetti:
"Vatandaşlarımızı dünya standartlarında daha etkin ve kapsamlı hizmetler ile buluşturmak için yayımlanan Sağlık Uygulama Tebliği (SUT) sayesinde önemli bir iyileştirmeyi tamamlamış olduk. Hayata geçirdiğimiz bu önemli adım için Sayın Cumhurbaşkanı'mıza şükranlarımı sunuyorum. Sağlık Bakanımız Sayın Prof. Dr. Kemal Memişoğlu ile Hazine ve Maliye Bakanımız Sayın Mehmet Şimşek'e göstermiş oldukları hassasiyet ve destek için teşekkür ediyorum."
Haber kaynağı: 10 Aralık 2025 tarihli ve 33103 sayılı Resmî Gazete (SUT Tebliği değişiklik metni).









